
You can find out more Diagram below
Vmx Series Manual
Semiconductor Faqs Fuji Electric Corp Of America
220v 240v To 110v 120v Step Down 230w Voltage Converter And International Travel Adapter Combo For Hair Straightener Flat Iron Hair Curler Cpap
500 Kva 600 Volt To 480 Volt Autotransformer Rc500j H
Htc Desire 12 Plus Smartphone Review Notebookcheck Net Reviews
99 Monte Carlo Wiring Diagram Wiring Schematic Diagram
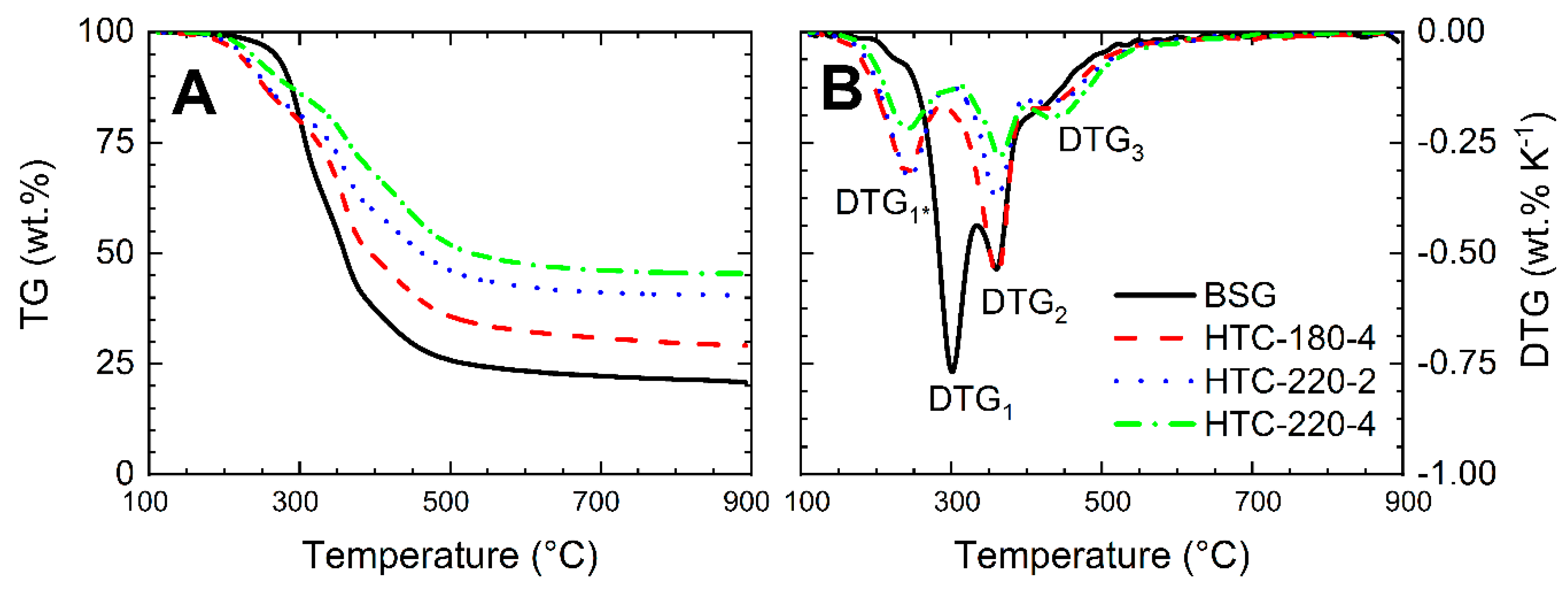
Catalysts Free Full Text Pyrolysis Kinetics Of
Universal Cell Phone 3 Pole Mono Headset Connector Pinout
Htc Duratiq 5 Ultra Compact Duratiq Technology
Title 17 Land Use And Development Code Of Ordinances
3 Phase Meter With Connection Via Ct Phase Meter With
Concrete Floor Grinders Polishing Machines From Htc
Technical Economic And Environmental Assessment Of The
Htc Duratiq 5 Ultra Compact Duratiq Technology
Cell Phone Charger Circuit Diagram
0 comments:
Post a Comment